Mathematics 122

Section 004, Fall 1998

Calculus for Business Administration and Social Sciences

LeConte 412 MWF, 11:15 a.m. - 12:05 p.m.


The homework, quizes, workseheets, and tests are in pdf format and can be read with Adobe's Acrobat Reader which can down loaded here.
Tests:
Test 1 Results of Test 1
Test 2 Results of Test 2
Test 3 Results of Test 3 Review for Test 3
Final

Quizzes: #1 #2 #3 #4 #5 #6 #7 #8 #9 #10 #11 #12 #13 #14 #15 #16 #17 #18 #19 #20 #21 #22 #23 #24 #25

Homework: #1

Worksheets: #1 #2 #3 Derivative formulas


Prerequisites:
Qualification through placement, or a grade of C or better in math 111 or 115. This is a graphing calculator based course. Each student is required to have a TI-83(preferred) or TI-82(acceptable).
Instructor:
Ralph Howard
  • Office: LC 304
  • Phone: 777-2913
  • E-mail: howard@math.sc.edu
  • Office Hours: Tuesdays and Thursdays 2:00-3:00 p.m. Wednesday 2:00p.m.-3:00p.m.
Text:
Brief Calculus by Hughes-Hallet, Gleason et.al..
Calculators:
The class demonstrations will be with the TI-83 and most of this should also apply to the TI-82. There are several types of calculators that will do all that is required for the class and you are welcome to use them. However for calculators other than the TI-83 and TI-82 I will not be able to help with the programming.
Grading:
There will be three midterms of 100 points each. There will be a daily quiz based on the homework. The total quiz grade score will come to 100 points. The Final will count for 200 points. Finally there will be 20 points for class presentations (and people who go to the board regularly can get fairly substantial extra credit above this 20 points). This gives a total of 620 points and your grade will be based on the total out of the 620. In summary:
Three midterms @ 100 points each 300 points
Total for quizzes 100 points
Final 200 points
In class presentations 020 points
Total 620 points
The dates of the tests will be:
Test 1 Wednesday, September 23
Test 2 Wednesday, October 28
Test 3 Wednesday, November 30
Final Thursday, December 7, 9:00a.m.
In general the curve on the midterms will be
A 90-100
B 80-89
C 70-79
D 60-69
F 00-59
but this can vary.
Quizzes and attendance:
There will be a short quiz at the beginning of each class based on the homework. The quizzes are meant to be straightforward for those who have done the assigned work. Note that the quiz total is the same as a test score. Thus it is a very bad idea to miss quizzes. While I will not enforce an attendance policy, if you miss class, then you will miss the quiz.
There will be not make up exams or quizzes:
If you miss a test, then your score on that exam is 75% of the average of your other test scores including the final. There will be not make up quizzes and if you a quiz then you just lose the points. I will not be dropping any quiz scores. I will give 10 points extra credit to anyone who takes all the quizzes.
Remarks on how the class will be run:
Unlike many classes not very much time in this class is going to be devoted to lecturing. Much of the class time will be spent in working problems often in small groups of 3 to 5 people. The problems will usual be directly from the homework. Also instead of just having the instructor give you the answer people from the class will present the answers at the board (this is the "class presentation" part of the grade).
Getting Help:
Besides my office hours you can get help in the Math Lab. This is a free tutoring service supplied by the mathematics department. Starting this semester it will have three locations LeConte 101, Towers' Conference Center, and Bates Area. The hours that the math lab is open can be found here.
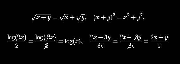
About partial credit and bad algebra:
Some arithmetic errors do not bother me much. If your get in a hurry and get 7x8=48 it is not going to cost you much, provided you are doing every thing else correctly. However, there are certain mistakes (all involving misuse of high school in such a way that always gives the wrong answer), that will not be tolerated. If you make these mistakes I will mark the entire problem wrong. Here are some examples of zero point errors:
This is not meant to scare you, but just to let you know where things stand.
Home