Mathematics 174

Section 005, Fall 1999

Discrete Mathematics for Computer Science Sciences

LeConte 121 MWF, 10:10 a.m. - 11:00 a.m.


Prerequisites:
Qualification through placement, or a grade of C or better in Math 112 or Math 115
Instructor:
Ralph Howard
Remark:
The syllabus, homework, quizzes, worksheets, and tests are in pdf format and can be read with Adobe's Acrobat Reader which can down loaded here.
Tests:
Test 1 Results on Test 1
Test 2 Results on Test 2
Test 3
Final
Quizes:
#1 #2 #3
Homework:
#1 #2 #3 #4 #5 #6 #7 #8 #9
Text:
Discrete Mathematics with Applications by Susanna S. Epp.
Grading:
There will be three midterms of 100 points each. Homework will be collected and will count for 100 points. There will be in class quizzes that count for 50 points. The Final will count for 150 points. This gives a total of 600 points and you grade will be based on the total out of the 600. In summary:
Three midterms @ 100 points each 300 points
Total for homework 100 points
Total for Quizzes 50 points
Final 150 points
Total 600 points
Note that the homework counts as much as a test so it is important to spend time on the homework. Letter grades will be assigned to all the tests. In general the curve on the midterms will be A 90-100, B 80-89, C 70-79, D 60-69, F 0-59, but this can vary. The last day to drop is Thursday September 30 and you should have a reasonable idea of where you stand by then.

The dates of the tests will be:

Test 1 Friday, September 17
Test 2 Wednesday, October 20
Test 3 Monday, November 22
Final Friday, December 10 - 9:00 a.m.
There will be not make up exams or quizzes:
If you miss a test, then your score on that exam is 75% of the average of your other test scores including the final. If a second exam is messed the score on it is zero. Exams will be taken in class on the days listed above. So don't ask to take an exam early or late because you have to be ``out of town'' or some other reason. Late homework will not be accepted. Likewise there will be not make up quizzes. If you miss a quiz then you lose the points. As a reward to anyone who turns on all the homework and takes all the quizzes will get 10 extra points. Missing only one homework or quiz is worth 5 extra points. On the other hand if someone leave class early without permission then I reserve the right to give them a zero on the homework or quiz for the day.
Remarks on how the class will be run:
Not all of class time will be devoted to lecture. Some days the class will be split into small groups to work together on problems.
Getting Help:
Besides my office hours you can get help in the Math Lab. This is a free tutoring service supplied by the mathematics department. Starting this semester it will have three locations LeConte 101, Towers' Conference Center, and Bates Area. The hours that the math lab is open can be found here.
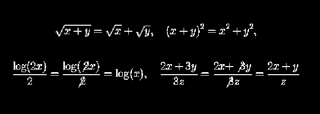
About partial credit and bad algebra:
Some arithmetic errors do not bother me much. If your get in a hurry and get 7x8=48 it is not going to cost you much, provided you are doing every thing else correctly. However, there are certain mistakes (all involving misuse of high school in such a way that always gives the wrong answer), that will not be tolerated. If you make these mistakes I will mark the entire problem wrong. Here are some examples of zero point errors:
This is not meant to scare you, but just to let you know where things stand.
Home